고체물리학
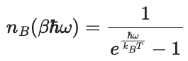
아인슈타인은 고체 내부의 모든 원자가 동일한 진동수 ω를 가지고 있다고 생각하였지만
디바이(Debye)는 고체를 격자들이 연속적으로 이어진 탄성체로 가정하였고,
탄성체 내부에서 퍼져나가는 진동들의 합으로 비열을 계산할 수 있다고 보았어요.

직접 만드느라 그림이 좀 엉성하지만 양해해 주세요!
위 그림과 같은 구조를 생각해볼게요.
연속적으로 이루어진 이러한 격자의 일부를 건드린다면,
해당 진동은 격자 전체로 퍼져나가게 될 것이에요.
이러한 격자 진동들이 고체 내부에 매우 많이 존재하고 있고,
각 진동마다 서로 다른 에너지를 가지고 있어요.
파동의 에너지는 진동수에 따라 달라진다는 점을 생각해 본다면,
격자 진동의 진동수는 각자 다를 수 있겠죠.
여기서 격자 진동을 일종의 입자로 취급해볼 수 있어요.
결국 격자 진동도 고유의 에너지를 가지는(양자화된) 현상이므로
그 만큼의 에너지를 가지는 입자라고 보겠다는 관점인 것이죠.
이를 포논(Phonon)이라고 하고, 준입자(Quasiparticle)의 일종이에요.
준입자는 몇몇 입자 집단들을 마치 하나의 입자인 것 처럼 생각하여,
그들의 행동을 입자 하나의 움직임으로 설명하는 개념이에요.
포논에서는 격자 진동을 일으키는 원자들이 입자 집단의 역할을 하고 있어요.
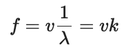
고등학교 시절, 파동에 대해서 처음 배울 당시 보았던 식 하나가 있을 거에요.

바로 파동의 속력, 파동의 진동수와 파장과의 관계를 담은 식이죠.
v는 파동의 속력, f는 파동의 진동수, λ는 파장이에요.
이 식을 진동수에 대해서 정리한 뒤, 파장 λ 대신 파수 k 를 써서 나타내면

이제 이 식의 성분들을 모두 벡터로 변환하면

의 관계를 얻을 수 있어요.
ω는 각진동수, v는 파동의 속도, k는 파수벡터에요.
이 식은 시작부터 파동에 대한 식이였지만,
격자 진동이라는 파동 개념을 기반으로 한 준입자인 포논에도 적용할 수 있어요.

이를 포논의 분산 관계라고 해요.
포논의 각진동수 ω가 파수벡터 k에 의해 어떻게 변하는지를 나타내는 식이죠.
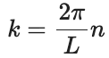
여기서 파수벡터 k는 어떠한 제한이 존재하게 되어요.
디바이의 이론에서, 고체 내부에는 일정한 격자가 무한히 반복되고 있다고 보기 때문에,
파동이 주기성을 가지게 되기 때문이에요.
파장의 길이가 L인 파동이 있다고 하면,
위치 x에서의 파동의 위상과, x+L에서의 파동의 위상은 같을 것이에요.
이를 식으로 표현해보도록 할게요.
임의의 주기적인 파동의 일반적인 해는 sin과 cos의 선형 결합으로 표현할 수 있어요.
둘다 주기함수이며, sin으로는 y를, cos으로는 x를 표현할 수 있으니까요.
따라서 sin과 cos을 동시에 포함하고 있는 오일러 공식을 이용해 파동을 표현할 수 있게 되는 것이죠.

이제 위에서 언급한 파동의 주기성을 고려하여 표현하면

이러한 관계를 얻게 되어요.
x에는 어떤 수를 넣어도 위 식이 성립해야 하므로,
편의상 x=0을 대입해보도록 할게요.

그러면 이러한 식을 얻고, 이걸 오일러 공식을 통해 다시 한번 살펴보자면

이러한 관계를 얻게 되는데, 여기서 실수 부분의 값은 1이고 허수 부분의 값은 0이여야 하므로

파수벡터 k는 위 관계를 만족하는 경우만 가능한 것이에요.
이때, n은 정수이므로 파수벡터 k는 불연속적인 값을 가지게 되어요.
따라서 포논의 각진동수 ω는 불연속적이므로
포논의 에너지 또한 불연속적일 것이라는 사실을 알 수 있죠.
연속적인 에너지 값을 가지는 것이 아니라, 특정한 에너지 값으로 양자화되어 있기 때문에
포논을 파동이 아닌 입자로써 간주할 수 있었던 것이 아닐까 하는 생각이 들어요.
그렇지만 고체에는 아주 많은 격자가 있죠.
격자 간격을 ℓ이라 한다면, L=100ℓ도 가능하지 않을까요? 1000ℓ은요?
1001개의 원자를 일렬로 나열한 1000ℓ마저 너무 작을지도 몰라요.
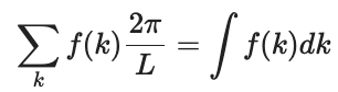
이런 상황에서 k의 가능한 값을 모두 더해야 한다면, 계산이 힘들겠죠.
그래서 L이 너무 큰 상황에서는 파수벡터 k가 불연속하다고 보는 것 보다는,
k의 간격이 매우 좁기 때문에 그냥 연속적으로 존재한다고 생각하고
적분 형태로 변환하는 것이 이후 계산을 간단하게 할 수 있다고 해요.

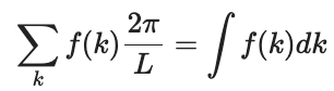
파수벡터 k는 2π/L의 간격을 가지고 있다는 것을 위에서 알아보았었죠.
리만 합을 이용하면 불연속적인 값을 다음과 같은 적분 형태로 바꿀 수 있어요.

이때, k 간격에 해당하는 ∆k는 2π/L이므로

이러한 관계가 성립하고, 2π/L을 우변으로 이항하면


이러한 관계식을 얻을 수 있어요.
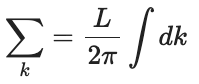
이는 1차원에서의 결과이므로, 3차원에서의 결과로 확장해볼게요.
1차원에서는 k의 간격에 대해서 생각해보았지만,
이제는 이 간격을 반지름으로 하는 구를 생각해보죠.
또한, 적분도 3차원에 대해서 해야 하므로

이러한 관계로 확장할 수 있어요.
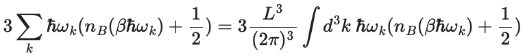
디바이도 아인슈타인과 마찬가지로 원자들끼리 스프링으로 결합되어 있다고 생각했기 때문에,
평균 에너지 <E> 에 대한 식의 기본적인 구조는 비슷해요.
그러나 아인슈타인과 다르게 포논의 각진동수 ωₖ가 일정하지 않다고 보았기 때문에
그 부분에 있어서 차이를 보이고 있죠.

이게 아인슈타인의 평균 에너지 <E> 식이고,
여기에 ω 대신 ωₖ를 넣은 것이


디바이의 평균 에너지 <E> 식이에요.
위에서 말했듯, 계산을 편하게 하기 위해 급수 표현을 적분 형태로 바꾸면

이러한 형태로 변환할 수 있는데,
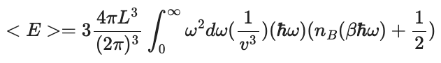
3차원 적분을 쉽게 계산하기 위해 1차원 적분으로 변환할게요.

4πk²은 반지름 k인 구의 겉넓이라서 다음의 관계가 성립해요.
부피는 3차원이고, 넓이는 2차원이고, 남은 적분이 1차원이므로 이렇게 변환할 수 있는 것이죠.
그리고 k=ω/v 이므로, 이를 이용해 모든 k를 ω로 변환할게요.

이러한 적분 변수 과정에서 ωₖ도 ω로 변환되어요.

n이 원자 밀도라면, 총 원자수 N은 nL³=N으로 구할 수 있어요. L³이 부피니까요.
여기서 상태 밀도(Density of states)라는 개념이 등장해요.
상태 밀도는, ω로부터 dω만큼 떨어진 매우 작은 구간 내에 얼마나 많은 진동 모드가 존재하는가를 나타내는 함수에요.
간단하게 생각하면, 어떤 진동수 ω를 가지는 원자가 몇 개냐 라고 생각하시면 될 것 같아요.
물론 원자 1개당 가능한 진동의 방향은 3개니까, 정확히는 1/3개의 원자가 되겠군요.
(사실 이러한 설명이 정확하지 않다는 지적이 있기는 하지만, 현재 저로써는 이보다 더 나은 이해가 가능하지 않아요.)
(언제가 될 지는 모르겠지만, 제가 '모드' 에 대해서 더 이해하게 되면 비열 글 전체를 갈아엎도록 할게요!)
위 식을 상태함수 g(ω)를 도입하며 정리하면

이러한 형태가 되고, 따라서 상태함수 g(ω)는 다음과 같아요.

그리고 식을 정리하면 ω_d가 등장하는데, 이것이 바로 디바이 진동수에요.

일단 식을 정리하면 다음의 형태가 나오긴 하는데, 문제는 이게 왜 갑자기 튀어나오느냐?
뒤에서 다시 한번 더 짚고 넘어갈 것이지만,
지금까지 디바이가 수행한 계산에서는 한 가지 문제가 있었습니다.
바로, k가 무한한 수준까지 도달할 수 있다는 것입니다.
이것이 의미하는 물리적 의미는, '원자들보다 더 많은 진동 모드' 가 존재한다는 것입니다.
원자의 수는 유한한데, 무한한 수의 진동자가 존재할 수는 없겠죠.
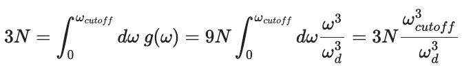
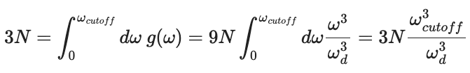
따라서 디바이는 이를 해결하기 위해, 일정 진동수 이상은 고려하지 않기로 했어요.
이 진동수는 고체 안에 실제로 존재하는 진동자의 수 만큼만 고려할 수 있도록 정해져요.
고체 안의 원자 수 N개, 그리고 각 원자마다 3개의 방향으로 진동 가능하므로 총 3N이 되는 것이죠.
따라서 차단 진동수는 다음과 같이 정해져요.

이제 이를 반영해 평균 에너지 <E>를 다시 써보도록 할게요.
이때, 영점 에너지 항(식 뒤의 1/2 부분)은 없어져요.
이 부분으로 인해 값이 무한하게 되었던 것인데,
이제는 최대 제한이 생겼기 때문에 의미가 없어졌기 때문이에요.

이렇게 차단 진동수를 정하는 목적은,
고온 영역에서 C=3R을 초과하여 무한으로 발산하지 않게 하기 위해서에요.
그렇다면 이것이 저온 영역에 영향을 줄 수 있지 않을까 하겠지만,

보스 점유인자는 저온에 가까워질수록 더욱 빠르게 0에 근접해요.
이는 차단 진동수가 고온 영역에서 진동자가 무한히 늘어나는 현상은 막아주며,
저온 영역에서 진동자의 수가 0보다 작아진다던지 하는 이상현상은 일으키지 않는다는 것을 의미해요.
이제 고온 영역에서 이러한 차단 진동수의 설정이 어떤 일을 일으키는지 확인해볼게요.
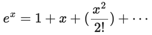
고온에서는 ℏω<<kT 이므로 ℏω/kT≈0 이라고 할 수 있죠.
exp함수의 지수 부분이 0에 가까우면 다음과 같은 테일러 전개가 가능해요.

여기서, x가 충분히 작기 때문에, 2차 이상의 고차항들은 전부 무시한다면

이렇게 근사할 수 있고, 이를 바탕으로 위의 보스 점유인자 식에 대입하면 이러한 결과를 얻어요.

따라서 고온 영역에서의 평균 에너지 <E>는 다음과 같이 주어지며

비열을 구하기 위해 T에 대해 다음 결과를 미분하면

뒬롱-프티(Dulong-Petit)의 법칙이 나오게 되어요.
이를 바탕으로 차단 진동수를 구해볼게요.

따라서 차단 진동수는 디바이 진동수와 일치하게 되어요.
즉, 디바이 진동수의 도입은 이러한 차단 진동수의 역할을 수행하기 위해서 이루어졌다고 볼 수 있어요.
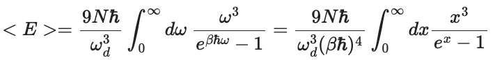
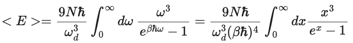
그렇다면 저온에서는 어떻게 되는지 볼게요.

위에서 구했던 <E> 에 대한 식을, 상태함수 g(ω)를 이용해 나타내면 이렇게 정리할 수 있어요.
영점 에너지 부분은 미분 시에 사라질 것이므로 제거되었어요.
x=βℏω 라고 하면

이러한 관계를 얻을 수 있어요.
이 적분의 결과는 π⁴/15 라고 해요. 뒤에 적분하는 법이 있긴 한데, 아직은 잘 모르겠어요.
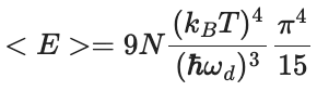
이를 반영하면

평균에너지 <E> 는 이러한 결과를 얻을 수 있어요.
이제, 비열을 구하기 위해서 이를 미분하면

이렇게 T³ 에 비례하는 결과가 나오게 되어서 저온에서의 비열이 T³ 에 비례한다는 관계를 수식적으로 얻게 되어요.
이렇게 디바이의 이론은 저온과 고온에서의 비열을 잘 설명할 수 있었지만,
이번에는 중간 온도에서 문제가 생겼다고 해요..
이 글은 제가 스스로 공부하며 이해한 내용을 정리하기 위해 쓰여졌어요.
만약 이 글의 내용에 오류가 있다면, 저와 다른 사람을 위해 댓글로 지식을 나누어주세요!
'학습 > 고체물리학' 카테고리의 다른 글
| [고체물리학] 금속 내부의 전자-드루드 이론 (0) | 2025.11.20 |
|---|---|
| [고체물리학] 비열-아인슈타인의 이론 (0) | 2025.09.13 |
| [고체물리학] 비열-볼츠만의 이론 (0) | 2025.09.11 |