고체물리학
우리가 사는 세상에는 여러 종류의 물질들이 있어요.
제가 즐겨 사용하는 주기율표 사이트에 따르면,

세상의 물질들은 크게 보면 금속과 비금속으로 나눌 수 있다고 해요.
물론 그 사이 애매한 경계에 속하는 준금속들도 있긴 하지만요.
일반적인 생활에서, 금속이라고 불리는 물질들에 대한 전반적인 인상은
1. 전기 전도성이나 열 전도성이 높다
2. 금속성 광택을 띈다
3. 긴 케이블처럼 얇은 선 형태로 가공하거나, 판재처럼 얇은 판 형태로 가공할 수 있다.
4. 단단하거나 강할 것 같다
정도로 생각해 볼 수 있을 거에요.
실제로 대부분의 금속 원소들은 이러한 특징들을 보이고 있기도 하고요.
그렇다면 금속들이 공통적인 특징을 보이는 것에는,
금속이라는 분류에 속하는 원소들이 가지는 어떠한 공통적인 성질이 있지 않을까요?
일반적으로, 어떤 물질의 화학적 성질을 결정짓는 것은 전자에요.

중앙의 원자핵에 비해 전자의 궤도가 더 바깥에 있기 때문에,
다른 원자와의 상호작용을 할 때는 전자끼리 먼저 만나기 때문이에요.
그래서 물질의 성질을 알아보려면 전자에 대해서 알아보는 것이 중요해요.
금속이라는 분류에 속하는 물질에서의 전자는, 어느 원자에 붙잡혀 있지 않고 자유롭게 돌아다녀요.
이를 '자유 전자' 라고 해요.

공유 결합이나 이온 결합에서의 전자들은 각 원자에 구속되어 있는 반면,
금속 결합에서의 전자들은 '전자의 바다' 라고 부르기도 하는 것 처럼
여러 원자들 사이를 자유롭게 이동하며 결합을 유지해요.
이러한 특성 탓에, 누르거나 구부려도 금속 물질은 휘기만 할 뿐, 부러지지 않는 것이죠.
나무 젓가락과 금속 젓가락을 구부러뜨린다고 생각해보면 이해가 쉬워요.
그래서 드루드(Drude)는 금속 내부 전자의 자유로운 움직임을 기체 분자들의 이동과 관련지어 생각하게 되어요.
드루드는 볼츠만의 기체 분자 운동론을 금속 내부의 전자의 이동에도 적용할 수 있겠다고 생각했어요.
그 결과는 매우 성공적이였고, 금속 내부에서의 전자들의 움직임에 대한 첫 걸음이 되었어요.
드루드는 다음과 같은 3가지 가정을 하였어요.
1. 전자는 산란 시간 τ를 가진다.
(여기서 '산란' 이란, 전자가 원자핵에 충돌한다는 것을 의미해요)
아주 짧은 시간 간격 dt 동안 산란할 확률은 dt/τ 이다.
2. 전자가 산란하면, 전자의 운동량 p는 0이 된다.
3. 각 산란 사이에, -e의 전하량을 가진 전자는 외부에서 작용하는 전기장 E와 자기장 B에 영향을 받는다.
1번과 2번의 가정은 기체 분자 운동론에서 가져온 것이고,
3번은 기체 분자와 달리 전자는 전하를 띄고 있기 때문에 외부 전기장 및 자기장에 반응해야 한다는 사실을 고려한 것이에요.
시간 t에서 운동량 p를 가지는 전자가, dt의 시간이 지난 뒤에 가지는 운동량은 얼마일까요?
간단하게 생각해본다면 두 가지 경우가 있을 거에요.
산란하지 않고 가속되어 운동량이 증가한 경우, 산란하여 운동량이 0이 된 경우.
그렇다면 전자의 평균 운동량은 (산란 안 한 경우의 운동량) + (산란한 경우의 운동량) 으로 나타낼 수 있어요.
(단일 전자의 운동량이 아님에 주의해주세요!)

만약 dt가 매우 작은 값이라고 한다면, 이 식을 조금 더 간단하게 바꿀 수 있어요.
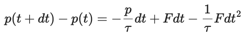
풀어서 다시 써보면 아래와 같이 되는데,
$$<p(t+dt>=p(t)-\frac{p}{\tau}dt+Fdt-\frac{1}{\tau}Fdt^2$$
여기서 우리가 알고 싶은 것은 운동량의 시간변화량이에요.
그래서 식을 조금 더 정리할게요.

$$p(t+dt)-p(t)=-\frac{p}{\tau}dt+Fdt-\frac{1}{\tau}Fdt^2$$
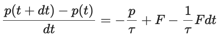
여기서 양변을 dt로 나누어주면 다음의 결과를 얻어요.

이때, dt는 매우 작은 값이기 때문에, dt가 포함된 항은 0으로 간주할 수 있어요.
그럼 최종적으로 다음의 식을 얻을 수 있어요.

운동량의 시간 미분은 힘이죠?
따라서, 전자에 작용하는 힘은 F와 -p/τ 가 있다는 것이에요.
여기서 F는 로런츠 힘(Lorentz Force) 이에요.

전자는 전하를 띄고 있으니까요.
-p/τ 는 산란항 이라고 부르는 부분이에요.
외부에서 어떤 힘을 가하지 않는다면, 전자는 지속적으로 충돌하면서 운동량을 잃어버리게 되겠죠.
이러한 부분을 설명하는 항이라고 보시면 되어요.
만약 외부에서 작용하는 힘이 없다면, 다음과 같은 식이 되는데

이러한 형태의 미분 방정식의 해는

지수적으로 감소하는 형태를 가지고 있기 때문에, 산란에 의해 운동량이 지수적으로 감소함을 예상해볼 수 있어요.
이제 위에서 살펴본 수송 방정식을 이용해서
전기 전도도와 '홀 효과' 를 살펴보도록 할게요.
특히, 홀 효과는 상당히 재미있는 물리적 현상이기 때문에,
단순히 수식으로만 유도하지 않고, 기본적인 물리 법칙을 통해서도 알아봐요.

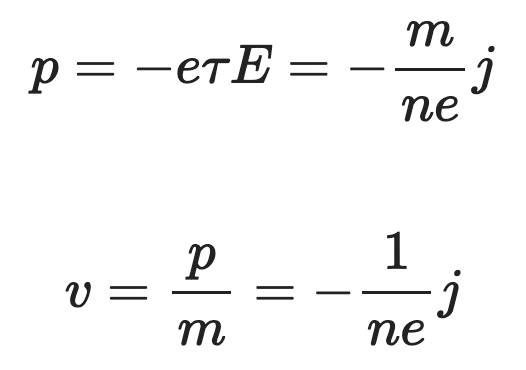
이 식을 변형하기 위해 이미 알려진 다음의 공식들을 이용할게요.


이제 전자의 속도 v와 운동량 p를, 전류밀도 j에 대해 정리하여
옴의 법칙 형태로 변환하도록 할게요.

이러한 전기장 E와 전류밀도 j의 관계를 이용하여,

p와 v를 j에 대해서 정리할 수 있어요.
이제 이 결과를 바탕으로 전자의 운동 방정식에 대입하면

다음의 결과를 얻어요.
이 식만 보아서는 무슨 말인지 이해하기 어려울 수 있기 때문에 다음의 그림을 보면서 설명하도록 할게요.

어떤 금속 판에 대해서, z축 방향으로 자기장이 작용하고 있고, x축 방향으로 전류가 흐르고 있다고 할게요.
이때, 자기장 속을 움직이는 전하에는 로런츠 힘이 작용하게 될 것이에요.

위 그림은 + 전하를 띈 입자에 작용하는 힘의 방향이므로, - 전하를 띈 입자는 반대 방향으로 힘을 받게 되어요.
그 결과, 전자는 +y 방향에 쌓이게 되는 것이죠.

전자가 한쪽으로 쌓이게 되었으니, y축 방향으로 전기장이 생기기 시작해요.
이러한 전자의 치우침이 계속 발생하는 상황을 생각해 볼게요.
전자가 한쪽으로 계속 몰리게 되면, 같은 전하끼리 작용하는 반발력으로 인해 점점 쌓이는 속도가 느려져요.
이러한 상황이 지속되어서, 전자가 받는 로런츠 힘과 전하 반발력이 평형을 이루는 시점이 되면

이 식에서 앞의 두 항이 서로 상쇄되어 합이 0이 되어요.
또한, y축 방향으로는 전류가 흐르고 있지 않으므로 감쇠 항의 j도 0이에요.
전자가 받는 로런츠 힘과 반발력이 평형을 이루는 시점 = 정상 상태(Steady state) 라고 하고,
정상 상태에서는 $\frac{dp}{dt}=0$ 이라고 할 수 있어요.
그걸 반영하여 위의 식을 옴의 법칙 $E=\rho j$ 형태로 정리하면
$$E=\frac{1}{ne}j\times B+\frac{m}{ne^2\tau}j$$
이 되고, 이는 비저항 행렬을 이용하여 완전히 정리할 수 있어요.
$$E=\begin{equation} \begin{pmatrix} \frac{m}{ne^2\tau} & \frac{B}{ne} & 0 \\ -\frac{B}{ne} & \frac{m}{ne^2\tau} & 0 \\ 0 & 0 & \frac{m}{ne^2\tau} \\ \end{pmatrix} \end{equation}j$$
이 행렬의 대각 성분인 $\rho_{xx}=\rho_{yy}=\rho_{zz}=\frac{m}{ne^2\tau}=\frac{1}{\sigma}$ 는 옴의 법칙에서의 저항이며
$\rho_{xy}=-\rho_{yx}=\frac{B}{ne}$ 는 홀 저항에 해당해요.
홀 효과를 측정하기 위해 다음과 같은 회로를 구성할 수 있어요.

저는 예시를 전자로 들었기 때문에 위와 같은 형태의 전하 분포가 이루어져요.
만약 주요 전하 운반자가 전자가 아닌 정공이라면
(정공은 주로 +로 간주되므로) 전하 분포가 반대가 될 것이에요.
이를 통해 p형 혹은 n형 반도체에 대해 홀 효과 실험을 하면 해당 반도체가 무엇으로 도핑되었는지 알 수 있어요.
홀 효과가 등장한 김에 잠깐 간단하게 써보았는데요,
더 자세한 내용은 다음에 홀 효과만 가지고 간단하게 써보도록 할게요.
드루드는 전기적인 성질 말고도 열에 대한 성질까지 설명하려고 시도했어요.
실제로 열적 성질은 전기적 성질과 많은 것이 닮아 있어서 대응되는 개념들이 있죠.
온도 차이는 마치 전위 차이라고 볼 수 있고,
서로 다른 온도를 가지는 물질 사이 흐르는 열은 마치 전류처럼 생각해볼 수 있어요.
기체분자운동론에서 계산했던 바에 따르면,
열 전도도 $\kappa$는 다음의 수식으로 알아낼 수 있어요.
$$\kappa=\frac{1}{3}nc_v<v>\lambda$$
여기서 $c_v$는 입자당 열용량으로, 단원자 이상기체를 가정하면
$$c_v=\frac{3}{2}k_B$$
로 나타낼 수 있고,
단원자 이상기체에서의 평균 입자 속도 $<v>$는
$$<v>=\sqrt{\frac{8k_B T}{\pi m}}$$
로 나타낼 수 있으며,
입자간 평균 충돌 거리 $\lambda$는 평균 충돌시간$\tau$를 이용해서
$$\lambda=<v>\tau$$
의 관계로써 나타낼 수 있어요.
즉, 열전도도 $\kappa$에 대한 식을 다음과 같이 정리할 수 있어요.
$$\kappa=\frac{1}{3}nc_v\lambda=\frac{4}{\pi}\frac{n\tau k_B^2 T}{m}$$
여기서 이 관계식들이 단원자 이상기체가 아닌 전자에 대해서도 성립한다고 가정하면,
$\tau$는 전자의 산란시간, $<v>$는 전자의 평균 속도라고 생각해볼 수 있을 것이에요.
이제 전자를 기반으로 전기 전도도와 열 전도도를 둘 다 얻었으니, 이 둘의 비율을 식으로 나타내면
$$\frac{\kappa}{\sigma}=\frac{4}{\pi}\left(\frac{k_B}{e}\right)^{2}T$$
라는 결과를 얻을 수 있고, 이 결과를 온도 T로 나누게 되면
$$L=\frac{\kappa}{T\sigma}=\frac{4}{\pi}\left(\frac{k_B}{e}\right)^{2}$$
위와 같은 결과를 얻을 수 있어요.
여기서 L은 로렌츠 수(Lorenz number)에요.
식에서 볼 수 있듯, 금속에서의 전기 전도도와 열 전도도의 비율인 것이죠.
실제로 이를 계산하게 되면 $0.94\times 10^{-8} WattOhm/K^2$ 를 얻을 수 있고,
이렇게 예측된 값은 실제 실험 결과보다 2~3배 정도 작아요.
2~3배나 오차가 난다고 생각할 수 있지만, $10^{-8}$ 라는 수준까지 맞추었으니
굉장히 잘 맞아떨어진 결과라고 할 수 있어요.
그러나 실제로 위 계산 과정은 너무나도 크게 빗나간 것이라는 사실이 밝혀지게 되어요.
결과는 좋았을 지 모르겠지만, 과정에서 상당히 큰 문제가 있어요.
일단, 가장 큰 문제라면 역시 $c_v$ 값을 $\frac{3}{2}k_B$ 로 예측했다는 점이에요.
실제 금속에서의 전자당 비열은 저렇지 않거든요. 훨씬 작죠. 약 100배 정도요.
전자는 기체 입자보다 작고, 당연히 한번에 옮길 수 있는 열의 양도 더 작았어야 했어요.
그렇다면 여기서 드는 의문, 대체 뭘 어떻게 했길래 치명적인 오류가 존재함에도 불구하고 결과는 좋았을까요?
일단, 다른 부분에서도 문제가 있었거든요.
전자의 평균 운동에너지를 너무 작게 예측했어요.
전자의 개별 속도는 굉장히 빠르고, 기체와는 비할 바가 안 될 정도에요.
그래서 실제 전자의 운동에너지는 드루드 이론에서의 결과보다 100배나 더 높았던 것이에요.
그리고 이 둘이 합쳐지니, 100배 작은 값과 100배 큰 값이 서로 상쇄되었죠.
그래서 드루드 이론은 계산 과정에서 문제점이 있었음에도, 답은 정확하게 나왔던 것이에요.
이 글은 제가 스스로 공부하며 이해한 내용을 정리하기 위해 쓰여졌어요.
만약 이 글의 내용에 오류가 있다면, 저와 다른 사람을 위해 댓글로 지식을 나누어주세요!
'학습 > 고체물리학' 카테고리의 다른 글
| [고체물리학] 비열-디바이의 이론 (1) | 2025.09.18 |
|---|---|
| [고체물리학] 비열-아인슈타인의 이론 (0) | 2025.09.13 |
| [고체물리학] 비열-볼츠만의 이론 (0) | 2025.09.11 |













































































































